facebook
twitter
Youtube
Ammon on Apple Store
Ammon on Play Store
مواعيد الطيران
مواعيد الصلاة
rss
  • اخر التحديثات
  • الأكثر مشاهدة




قراءة واعية في الموازنة العامة


د. عادل يعقوب الشمايله
20-06-2018 11:05 AM

في محاولة لتمكين المواطن الاردني من التفقه في أمور الدولة المالية وعلى رأسها الموازنة العامة، كتبت عدة مقالات نشرتها وكالة عمون. هذا المقال هو حلقة في السلسلة التي تهدف الى وضع الحقائق بدون تلاعب وتزييف أمام المواطنين اللذين هم مَصدرُ السُلطات ومناطُ التكاليف والمبررُ لوجود الحكومة أصلا . إن ما يدفعه المواطنون ليس من أجل الحكومة بحد ذاتها وإنما باعتبارها آلية من اليات أمنهم ورفاههم. وهو ما تعبر عنه الديموقراطيات بمقولة: من الشعب وبالشعب وللشعب. فالحكومة مجرد وكيل عن الشعب.
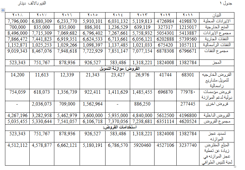
أُدرج أدناه جدولا يبين إيرادات الحكومة بما فيها المنح والمساعدات، ونفقاتها وعجز الموازنة والقروض التي حصلت عليها الحكومة وكيف استخدمتها خلال الفترة 2011-2018 .

يستنتج من الجدول ما يلي:
1- زادت الايردات خلال الفترة 2011-2018 بنسبة 42% في حين زادت النفقات خلال الفترة نفسها بنسبة 24 %. وبالارقام المطلقة زادت الايرادات عام 2017 مبلغ 650 مليون دينارعن عام 2016 وهذا ينفي المصداقية عن مزاعم حكومة الملقي بأن الايرادات تتناقص. وبناءاً على هذه الحقيقة فان اصرار كل من حكومتي عبدالله النسور و د. الملقي على فرض المزيد من الضرائب غير المباشرة الى أن وصلت الى 90% من الايرادات الضريبية ثم تعديل قانون ضريبة الدخل بصورة فجة ومعبرة عن أُمية إقتصادية ومالية لدى من صممها ومن تبناها، والتضليل في عرضها إنما يدلُ على إستهتار بالشعب وعوزٍ في الاخلاص والامانة بتحمل المسؤولية.
2- أثمرت زيادة الايرادات وتراجع نسب نمو النفقات، مع الاستقرار النسبي للمنح والمساعدات الى انخفاض عجز الموازنة السنوي وهذا شئٌ منطقي ومقبول. وبدلا من أن تنخفض المبالغ المتقرضة لتقتصر على تغطية عجز الموازنة، استمرت الحكومة بزيادة وتيرة ما تقترضه الى أن وصل الى 7,5 مليار في السنة بعد ان كان اربعة مليارات، أي بزياده 3,5 مليار في السنة وهي نتيجة غير منطقية أن يتوازى ويتزامن الاقتراض المتزايد مع التناقص في عجز الموازنه. إن من يفحص تفاصيل أرقام قانون الموازنة العامة، لا بد وأن يلاحظ أن الحكومة تقترضُ لتُسدد جزءاً مما استدانته في العام السابق، ثم تقترض من جديد اكثر مما سددت. وهكذا تراكم الدين وزاد من 14,8 مليار دينار عام 2010 أي قبل تولي عبدالله النسور الى حوالي 26 مليار دينار عام 2016 بعد رحيله. اي بزيادة 12 مليار دينار. وقد اضافة حكومة د. هاني الملقي مليارين اخرين. وبذلك تضاعف الدين. هذا السلوك يثير الشك والريبة في دوافع الاقتراض ومبرراته وإدارته ومآلته. غيرأنه من الانصاف الاعتراف بأن مبلغ الزيادة في الاقتراض السنوي قد نقص في عهد حكومة د. الملقي عن المستوى المروع الذي كان عليه في عهد حكومة عبدالله النسور. والا لتجاوز الثلاثين مليار دينار اي ما يعادل 38 مليار دولار اي اكثر من نصف ديون مصر التي يبلغ عدد سكانها 12 ضعف عدد سكان الاردن.
3- يظهر الجدول رقم 2 مبالغ المنح التي تلقها الاردن خلال السنوات الاخيرة والدول التي دفعتها، حيث ظلت المنحُ والمساعدات ضمن مُعدلها العام دون نقص ملحوظ خلال السنوات 2012 وحتى 2017 بما فيها المقدرة لعام 2018. ليس هذا فحسب، بل إن المساعدات والمنح للربع الاول من عام 2018 قد زادت بمبلغ 11 مليون دينار عن 2017. وبالتالي فان المزاعم التي اخترعتها حكومة د. الملقي لتمرير الضرائب الظالمة، وهو أن الاردن يعاني من أزمة مالية بسبب نقص المساعدات والمنح عقابا على موقفه من القدس، هي مزاعمُ رخيصةٌ و كاذبةٌ جُملة وتفصيلا، مستنداً في إستنتاجي هذا على أرقامِ الحكومةِ نفسها. بل إن هذه المزاعم مُسيئةٌ لعلاقاتنا مع من إعتاد أن يُقدم لنا المساعدات والمنح سواءا دول عربية أو اجنبية. وفي واقع الامر فان لا جديد في موقف الاردن وموقعه من القضية الفلسطينية عموما والقدس على وجه الخصوص. فلا زال موقف الحكومة ثابتا في تأييد حل الدولتين، كما ان الوصاية الهاشمية على القدس قديمةٌ ومتفقٌ عليها مع الاطراف المعنية وهي السلطة الفلسطينية واسرائيل. إضافة الى أن الوصاية الهاشمية منصوصٌ عليها باتفاقية وادي عربه، وهي اتفاقيةٌ دوليةٌ تضمنها الولايات المتحدة الامريكية باعتبارها راعية المعاهدة وكذلك مجلس الامن والامم المتحدة، وأي إخلال باي نص من نصوصها يجعل الاردن في حل من الاتفاقية برمتها أو من أي من نصوصها. ثم ما هي الفائدة العظيمة التي ستحصل عليها اي دولة لتنافس الاردن على الوصاية؟ إنها مسؤوليةٌ ثقيلةٌ تفوق ليس طاقة الاردن بل والدول العربية جميعها. أما أن يُعاقبَ الاردنُ لان الملك حضر مؤتمر اسطنبول بشأن القدس فإن هذا مُجرد هُراء. فهل كان لدى الملك أي مُسوغٍ لعدم حضور مؤتمر لمنظمة الدول الاسلامية هدفه الدفاع عن القدس التي يتولى الوصاية عليها، القدس التي كانت العاصمة الثانية للكيان الاردني، القدس التي تم احتلالها وباقي الضفة الغربية من الاردن. هذه المعطياتُ تجعلُ مِن الاردنِ أكثر الدول حماسا لحضور المؤتمر، وتجعلُ من الاردن ليس فقط لا يعتذر عن حضوره المؤتمر وانما ان يكون عاتبا على من لم يحضر ولكلٍ أسبابهُ التي لا تعكس بالضرورة الموقف من القدس بقدر ما تعكسُ العلاقاتِ الثُنائية بينَ الدولِ التي لم تشارك وتركيا. من جهة أُخرى، ما الذي فعله مؤتمر صلاة الجماعة على الميت الذي دعت اليه السلطةُ الحاكمةٌ في تركيا لاسباب دعائية بحتة، وهل غيرت شعارات المؤتمر قرار ترامب أو حررت القدس من الاحتلال الاسرائيلي؟ اهم مصدرين للمنح هما الولايات المتحدة الامريكية واوروبا. وهما لا ينافسان الاردن على الوصاية على القدس.
4- يُظهر الجدول 1 أن المبالغ التي كانت تُقترض تحت بند دعم الموازنة كانت تتجاوز عجز الموازنه. المفروض أن يتساوى المبلغ الذي تقترضه الحكومة لدعم الموازنة مع مبلغ العجز، ويُفضلُ ان يكون القرض بالعملة الصعبة للحفاظ على سعر الدينار. هذه الزيادة غير مفهومة الا لمن إرتكبها واعوانه من السحرة والمنجمين.
5- طالما أن النفقات الرأسمالية تُشكل جُزءا من النفقات العامة وتُسهمُ في تَحقُق عجزِ الموازنة الكلي شأنها شأن النفقات الجارية، فان من غير المفهوم ولا المبرر إفراد بند خاص لها في موازنة التمويل إقتراضا وتسديدا. إذ أن عجز الموازنة بغض النظر عن تفاصيل النفقات يُغطى من قرضِ دعم الموازنة. هذا مُجرد تلاعبٍ بالارقام يُقصد منه تضليلُ وخداعِ أعضاء مجلس النواب على إفتراض أنهم مُهتمون بممارسة دورهم الرقابي والتشريعي، وكذلك من يُحاول أن يقرأ قانونَ الموازنة من المهتمين.
6- بناءا على ما تقدم بيانه، فإن لعبة الاقتراض لتسديد جُزء من الديون، ثم الاستدانة من جديد دون مبرر محاسبي، ودون مبرر اقتصادي ودون مبرر خدماتي ودون مبرر سياسي يجبُ ان تنتهي. يجبُ أن تتوقفَ لُعبة الشُطار، وعليهم أن يُدركوا أنهم أدنى ذكاءا وأقل عِلماً وخبرة في إدارة الدولة بشكل عام والمال العام والاقتصاد الوطني بشكل خاص من كثيرين من أفراد الشعب الاردني المُقصيين عن مُمارسة واجبهم الوطني. آن الاوان لانقشاع غيمة من أثقل كاهلَ الوطنِ دُيوناً وفقراً وبطالة ونقصا في السيادة الوطنية، وان يتم الاستجابةُ لمطالبِ الشعب الذي خرج الى الشوارع داعيا بتصميم الى تغيير النهج السياسي التخريبي الذي تبنتهُ الحكوماتُ السابقة.
واخيرا وبعد أن استكمل عرض الامراض التي تعاني منها المالية العامة للحكومة والاقتصاد الوطني، سيكون من واجبي أن اجتهد في تقديم حلول، فإن أخطأت فلي أجر الاجتهاد.





  • لا يوجد تعليقات

تنويه
تتم مراجعة كافة التعليقات ،وتنشر في حال الموافقة عليها فقط.
ويحتفظ موقع وكالة عمون الاخبارية بحق حذف أي تعليق في أي وقت ،ولأي سبب كان،ولن ينشر أي تعليق يتضمن اساءة أوخروجا عن الموضوع المطروح ،او ان يتضمن اسماء اية شخصيات او يتناول اثارة للنعرات الطائفية والمذهبية او العنصرية آملين التقيد بمستوى راقي بالتعليقات حيث انها تعبر عن مدى تقدم وثقافة زوار موقع وكالة عمون الاخبارية علما ان التعليقات تعبر عن أصحابها فقط .
الاسم : *
البريد الالكتروني :
اظهار البريد الالكتروني
التعليق : *
بقي لك 500 حرف
رمز التحقق : تحديث الرمز
أكتب الرمز :